22/07/2025
Trường Đại học Thành Đô công bố bảng quy đổi điểm tương đương giữa phương thức xét tuyển điểm thi đánh giá năng lực, đánh giá tư duy với phương thức xét kết quả thi tốt nghiệp THPT 2025, theo quy định của Bộ Giáo dục và Đào tạo.
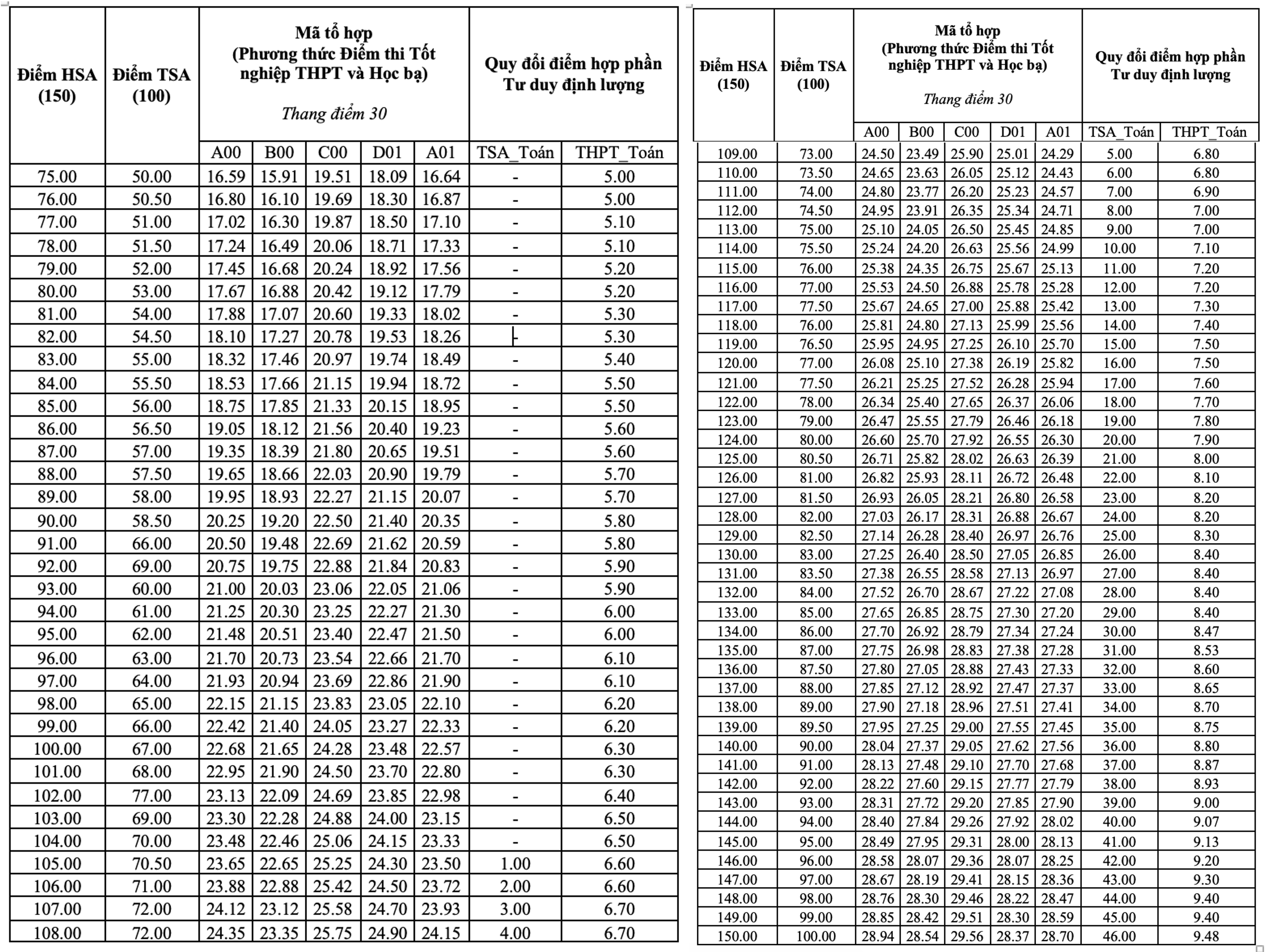
Theo hướng dẫn của Bộ Giáo dục và Đào tạo ban hành ngày 19/5, có ba loại khung quy đổi điểm tương đương, trong đó có đề cập đến quy đổi giữa các loại điểm thi như điểm thi tốt nghiệp THPT, thi đánh giá năng lực, tư duy của các đại học.
Cụ thể, khung quy đổi đưa ra khoảng điểm của các bài thi riêng và của các tổ hợp môn thi tốt nghiệp THPT phù hợp theo phương pháp bách phân vị. Đây là phương pháp dựa trên phân bố điểm của hai kỳ thi, xác định điểm ở cùng phân vị để chuyển đổi.
Chẳng hạn, các trường lấy top 1% thí sinh của hai kỳ thi. Điểm để đạt top 1% này theo kết quả thi đánh giá năng lực và thi tốt nghiệp THPT là bao nhiêu thì đó sẽ là mức tương đương.
Bộ Giáo dục cho biết sẽ phân tích kết quả thi của những thí sinh có cả điểm bài thi riêng và điểm tổ hợp môn thi tốt nghiệp tương ứng của năm 2025. Các khoảng điểm được xếp tương ứng với top 0,5%, 1%, 3%, 5%, 10% như bảng sau:

Trách nhiệm của các trường đại học tổ chức kỳ thi riêng là phải xác định được những tổ hợp môn thi tốt nghiệp phù hợp với đặc điểm bài thi riêng do trường mình tổ chức và khuyến cáo các trường khác sử dụng, trong đó làm rõ tổ hợp nào phù hợp nhất.
Các trường cũng phải công bố bách phân vị của kết quả bài thi riêng năm 2025 (X0, X1 trong bảng), phối hợp với Bộ để phân tích kết quả thi tốt nghiệp của thí sinh đã có bài thi riêng, sau đó công bố các khoảng điểm của tổ hợp môn phù hợp (A0, A1, B0, B1… trong bảng). Trên cơ sở số liệu này, điểm trúng tuyển và ngưỡng đầu vào của từng ngành sẽ được quy đổi tuyến tính trong từng khoảng điểm.
| Bảng 5. Mức điểm tương đương theo tốp của điểm HSA và điểm thi tốt nghiệp THPT năm 2025 | |||||
| Tốp (%) | HSA | A00 | B00 | C00 | D01 |
| 3* | 129 | 30,00 | 29,50 | 29,50 | 27,75 |
| 0,5 | 114 | 28,75 | 28,25 | 28,75 | 26,25 |
| 1 | 111 | 28,50 | 28,00 | 28,50 | 25,75 |
| 2 | 108 | 28,25 | 27,57 | 28,50 | 25,50 |
| 3 | 105 | 27,75 | 27,25 | 28,25 | 25,00 |
| 5 | 102 | 27,50 | 26,75 | 28,00 | 24,50 |
| 10 | 98 | 27,00 | 26,25 | 27,50 | 24,00 |
| 20 | 91 | 25,75 | 25,00 | 26,75 | 22,75 |
| 30 | 86 | 24,75 | 23,75 | 26,25 | 22,00 |
| 40 | 82 | 23,75 | 22,85 | 25,75 | 21,35 |
| 50 | 78 | 22,75 | 21,75 | 25,00 | 20,75 |
| 60 | 74 | 21,60 | 20,50 | 24,50 | 20,00 |
| 70 | 70 | 20,50 | 19,25 | 23,50 | 19,35 |
| 80 | 66 | 19,20 | 18,10 | 22,60 | 18,60 |
| 90 | 60 | 17,25 | 15,99 | 21,00 | 17,50 |
| 100 | 31 | 7,95 | 8,82 | 12,00 | 10,87 |
| Ghi chú: – Tốp điểm thi thống kê thứ hạng điểm thi từ cao xuống thấp. – 3* : Tốp 3 thí sinh có điểm thi cao nhất. (Số liệu được làm tròn đến 2 chữ số sau dấu phảy) |
|||||
Bảng quy đổi điểm HSA – Trường Đại học Thành Đô
Dưới đây là bảng quy đổi điểm trúng tuyển theo các phương thức tuyển sinh trường đại học Thành Đô theo Quyết định Hội đồng tuyển sinh Trường Đại học Thành Đô về việc phê duyệt mức điểm sàn xét tuyển trình độ Đại học chính quy theo phương thức xét tuyển điểm thi tốt nghiệp THPT năm 2025.
Trường Đại học Thành Đô công bố ngưỡng điểm nhận hồ sơ xét tuyển 2025, theo đó, mức điểm 16,0 là điểm sàn áp dụng với các ngành Công nghệ thông tin, CNKT Ô tô, CNKT Điện – Điện tử, Kế toán, Quản trị kinh doanh, Quản trị Văn phòng, Luật, Quản trị Khách sạn, Việt Nam học (Hướng dẫn du lịch), Ngôn ngữ Anh, Ngôn ngữ Trung Quốc, Giáo dục học. Ngành Dược học và Điều dưỡng theo quy định của Bộ Giáo dục và Đào tạo, lần lượt là 19,0 và 17,0.
Các bạn học sinh lưu ý thời hạn đăng ký nguyện vọng xét tuyển trên Cổng thông tin tuyển sinh của Bộ GD&ĐT, mã trường TDD trong thời gian 16/07/2025 – 28/07/2025. Đồng thời, bổ sung hồ sơ cần thiết để được công nhận trúng tuyển chính thức theo quy định.
>> Xem chi tiết Hướng dẫn đăng ký nguyện vọng trên cổng bộ tại: Hướng dẫn đăng ký nguyện vọng 2025
04 Phương thức xét tuyển vào Trường Đại học Thành Đô:
Thí sinh cần chuẩn bị hồ sơ gồm:
| Đăng ký nộp hồ sơ và nhận tư vấn miễn phí ngay tại:
Cách 1: Trực tiếp tại trường hoặc chuyển phát qua đường bưu điện
Cách 2: Trực tuyến, tại
|